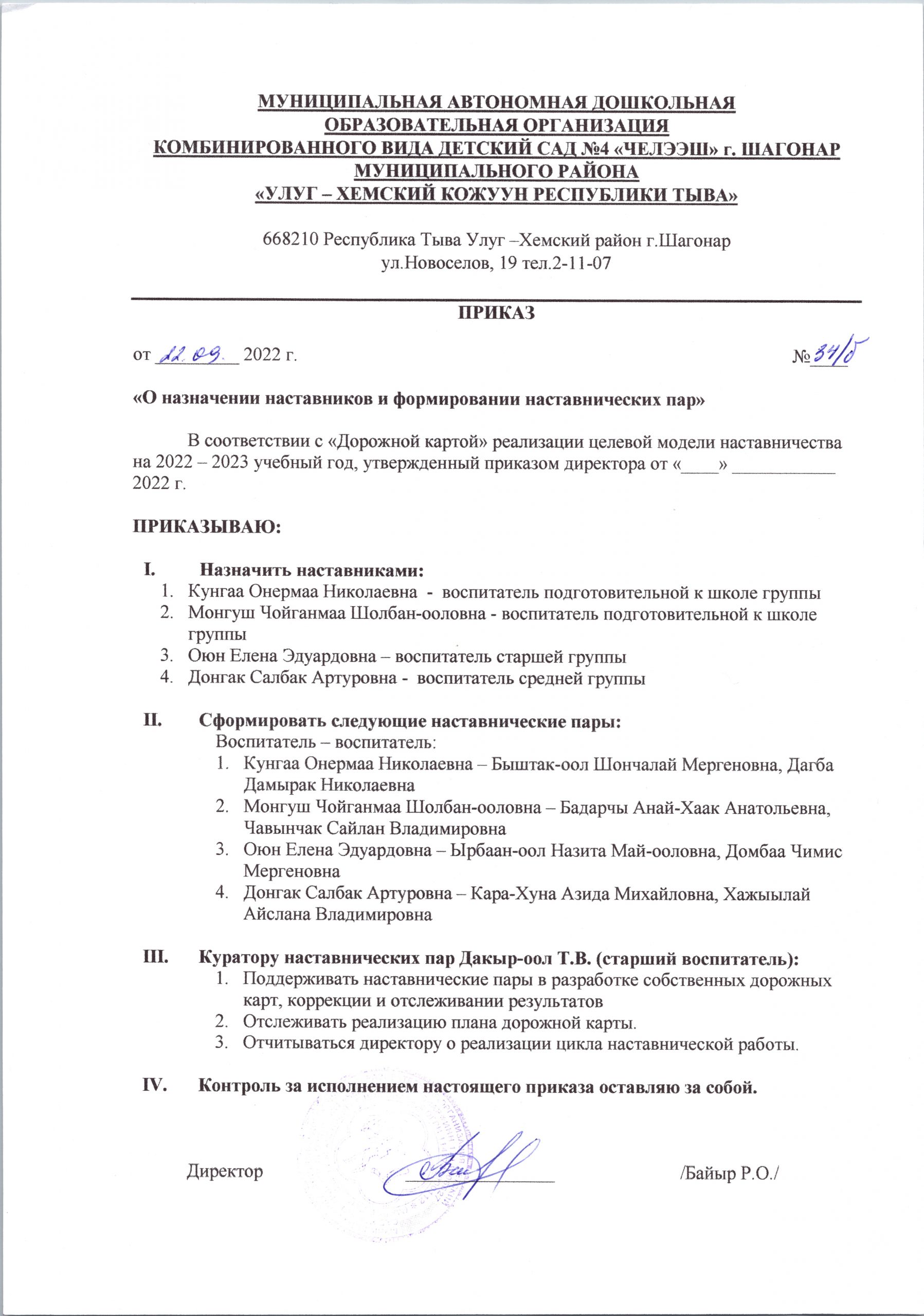
Документы Устав МАДОО детский сад №4 «Челээш» г.ШагонарСкачать Режим дняСкачать Положение о порядке приёма, перевода и отчисления воспитанниковСкачать Порядок оформления, возникновения и прекращения, приостановления отношений Скачать Правила внутреннего распорядка воспитанников ДОУСкачать Правила внутреннего трудового распорядкаСкачать Правила приёма воспитанниковСкачать Отчет по самообследованию 2021 — 2022 уч.гСкачать Отчет по самообследованию 2019-2020 уч.г скачать Отчет по самообследованию 2020 — 2021 уч.г скачать Основная образовательная программа МАДОО №4 «Челээш» на 2021-2025 гг. скачать Положение о защите персональных данных воспитанниковСкачать Положение о защите персональных данных работниковСкачать Постановление об утверждении Положения об учете детейСкачать приказ о целевой модели наставничестваСкачать приказ о назначении наставников и формировании наставнических парСкачать положение о системе наставничестваСкачать программа целевой модели наставничества Скачать дорожная картаСкачать